My Notes
Search
Search
Dark mode
Light mode
Reader mode
Explorer
Home
❯
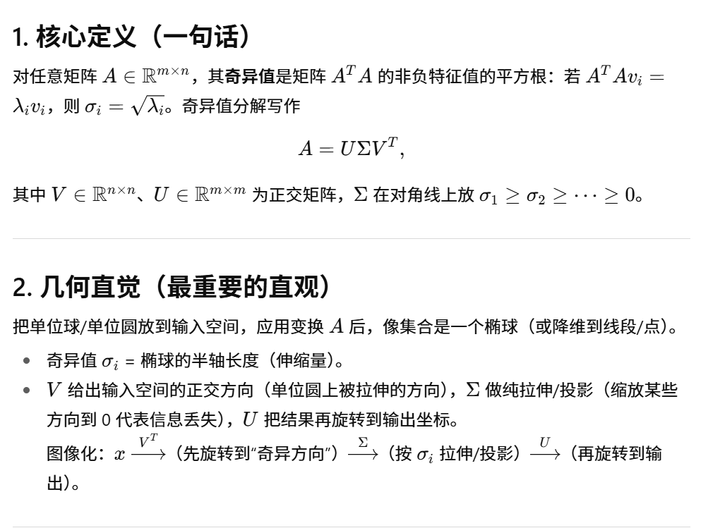
SVD, Singular value decomposition
SVD, Singular value decomposition
Aug 31, 2025
1 min read
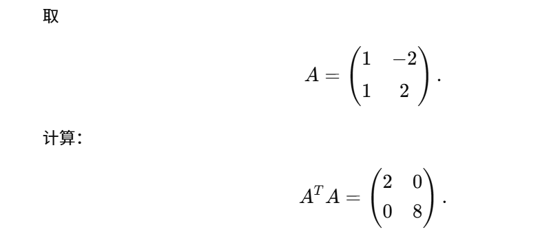
奇异值的物理意义是什么?
奇异值分解,就是把矩阵分成多个“分力”
奇异值的大小,就是各个“分力”的大小
Graph View
Backlinks
Matrix Decomposition